Размер партии – это величина последовательно произведенного товара без перерывов либо переключений в технологическом процессе. В чем значимость определения оптимального размера партии? Оптимальный размер партии приводит к уменьшению потерь по складу, процентов на имущество, расходов по перенастройке. Следовательно, разделение объема товаров, производимого за год, на доли приводит к значительному снижению расходов. Наилучшему размеру партии для производителя противодействует выгодный размер партии для реализации. Расходы по перенастройке становятся при данном варианте расходами по регистрации заказа. В чем заключается особенность серийного производства? Серийное производство оптимально для групп товаров сходных по технологическим процессам при изготовлении. Спустя некоторое время возникает необходимость в перенастройке к выпуску иного товара. Вышеприведенный рисунок демонстрирует, что продукция А, В, С производится последовательно на одной технологической линии. Перерыв в технологическом процессе для пуска в производство нового товара приводит к простою и появлению не связанных с размером партии расходов – постоянные серийные затраты. Это расходы на перенастройку и наладку производственных мощностей. При увеличении размера партии увеличиваются и постоянные серийные затраты. В пересчете на единицу продукции эти расходы сокращаются при увеличении размера партии, производимой без перерывов или перенастройки технологического процесса – дигрессивное поведение затрат. Серийное производство требует четкой координации объема производства, серии и последовательности изготовления товаров. Потребности в разных товарах должны исполняться предприятием без задержек. Каковы варианты удовлетворения годовой потребности в товаре? У бизнесмена есть несколько вариантов насыщения потребности в товаре в течение года: 1) Единственная партия равная объему годовой потребности: увеличение пропорциональных серийных затрат, а именно расходов по складу и процентов на имущество; единичные расходы на перенастройку; низкий уровень постоянных серийных затрат; вероятность не насыщения потребностей по другим видам товаров. 2) Некоторое количество партий, насыщающих годовую потребность: уменьшение складских расходов и расходов на имущество; увеличение расходов на перенастройку. Итак, главная задача – поиск наиболее эффективного размера партии, при котором единица произведенного товара будет приносить минимальные постоянные и пропорциональные серийные затраты. Какие расходы являются основными при серийном производстве? При серийном изготовлении товаров на предприятии появляются расходы, нуждающиеся в более полном рассмотрении: A) Расходы по складу: складские расходы – заработная плата, расходы на поддержание функциональности складских площадей; калькуляционные проценты – это расходы коррелирующие с объемами хранящегося на складе имущества. Обе позиции могут быть снижены путем спланированного сокращения объема товаров на сладе. Нижний предел в данном случае – это страховой запас. Уменьшение складских расходов и калькуляционных процентов вызывает противодействие со стороны увеличивающихся расходов на перенастройку технологического процесса и вероятности не насыщения потребности в определённом виде товаров. Выход из этой ситуации – поиск оптимального размера партии. Б) Расходы на перенастройку: зависят от продолжительности процесса перенастройки; не зависят от размера партии; в пересчете на единицу товара уменьшаются с увеличением размера партии; состоят из: 1) затрат простоя; 2) затрат на необходимые технические средства и оборудование; 3) заработной платы; 4) вспомогательных расходов. Этапы нахождения оптимального размера партии Чтобы найти наиболее приемлемый вариант размера партии нужно: 1. Найти количество партий: где n – количество партий, M – годовой объем реализуемого товара, m –наиболее приемлимый размер партии, произведенный без перерыва либо перенастройки технологического процесса. 2. Вычислить постоянные серийные затраты всех серий: где KF– общие постоянные затраты на перенастройку всех серий, Kf– серийные затраты для одной партии. 3. Рассчитать размер суммарных складских расходов (склад и проценты): где KL– размер суммарных складских расходов, Kl– ставка расходов по складу и калькуляционных процентов в пересчёте на единицу товара за период. 4. Определить суммарные затраты (K): 5. Минимизация суммарных затрат приводит нас к функции: 6. Наиболее приемлемый размер партии (m) находится при сведении уравнения к дифференциальному виду: 7. Постановка условия 8. Решение уравнения относительно m Рассмотри на примере. Прогнозируемая реализация в будущем году составит 400 000 единиц товара T. Размер постоянных серийных затрат достигает 6 000 ДМ. Расходы по складу равны 20 ДМ на единицу товара за год. Вычислим наиболее приемлемый вариант размера партии. Итак, минимизация затрат будет достигнута при размере партии в 15 491 шт. товара. Есть ли допущения в формуле расчета оптимального размера партии? Допущения в формуле расчета наиболее приемлемого размера партии: бесконечность скорости процесса производства; постоянность скорости реализации; не учитывались складских потерь; неизменность постоянных серийных затрат; прямо пропорциональное изменение прочих расходов по производству; не учитывались ограничение по складским площадям. Является ли расчет оптимального размера партии целесообразным на сегодняшний день? Не стоит отказываться от расчета оптимального размера партии под предлогом чрезмерного расходования трудовых ресурсов. Конечно, нет необходимости определять оптимальный размер партии для каждого вида продукции, но для А и B товаров эти расчёты необходимы. Для начала производится расчет оптимального размера партии для A-товаров, составляющих 5 процентов от объема всей продукции, но дающих около 75 процентов в переводе на доходность. Улучшение планирования и регулировки производства А-товаров приведет к значительному уменьшению затрат. Внедрение оптимизации размера партии в сочетании с ABC-анализом значительно уменьшит производственные расходы. Этот эффект будет более значимым при повышении эффективность и снижении расходов склада. Широкое распространение и активное использование персональных компьютеров облегчает задачи по поиску оптимального размера партии.
Размер партии – это величина последовательно произведенного товара без перерывов либо переключений в технологическом процессе.
Оптимальный размер партии приводит к уменьшению потерь по складу, процентов на имущество, расходов по перенастройке. Следовательно, разделение объема товаров, производимого за год, на доли приводит к значительному снижению расходов.
Наилучшему размеру партии для производителя противодействует выгодный размер партии для реализации. Расходы по перенастройке становятся при данном варианте расходами по регистрации заказа.

В чем заключается особенность серийного производства?
Серийное производство оптимально для групп товаров сходных по технологическим процессам при изготовлении. Спустя некоторое время возникает необходимость в перенастройке к выпуску иного товара. Вышеприведенный рисунок демонстрирует, что продукция А, В, С производится последовательно на одной технологической линии.
Перерыв в технологическом процессе для пуска в производство нового товара приводит к простою и появлению не связанных с размером партии расходов – постоянные серийные затраты. Это расходы на перенастройку и наладку производственных мощностей.
При увеличении размера партии увеличиваются и постоянные серийные затраты. В пересчете на единицу продукции эти расходы сокращаются при увеличении размера партии, производимой без перерывов или перенастройки технологического процесса – дигрессивное поведение затрат.
Серийное производство требует четкой координации объема производства, серии и последовательности изготовления товаров. Потребности в разных товарах должны исполняться предприятием без задержек.
Каковы варианты удовлетворения годовой потребности в товаре?
У бизнесмена есть несколько вариантов насыщения потребности в товаре в течение года:
1) Единственная партия равная объему годовой потребности:
2) Некоторое количество партий, насыщающих годовую потребность:
Итак, главная задача – поиск наиболее эффективного размера партии, при котором единица произведенного товара будет приносить минимальные постоянные и пропорциональные серийные затраты.
Какие расходы являются основными при серийном производстве?
При серийном изготовлении товаров на предприятии появляются расходы, нуждающиеся в более полном рассмотрении:
A) Расходы по складу:
Обе позиции могут быть снижены путем спланированного сокращения объема товаров на сладе. Нижний предел в данном случае – это страховой запас.
Уменьшение складских расходов и калькуляционных процентов вызывает противодействие со стороны увеличивающихся расходов на перенастройку технологического процесса и вероятности не насыщения потребности в определённом виде товаров. Выход из этой ситуации – поиск оптимального размера партии.
Б) Расходы на перенастройку:
Чтобы найти наиболее приемлемый вариант размера партии нужно:
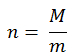
1. Найти количество партий:

где n – количество партий, M – годовой объем реализуемого товара, m –наиболее приемлимый размер партии, произведенный без перерыва либо перенастройки технологического процесса.
2. Вычислить постоянные серийные затраты всех серий:

где KF– общие постоянные затраты на перенастройку всех серий, Kf– серийные затраты для одной партии.
3. Рассчитать размер суммарных складских расходов (склад и проценты):

где KL– размер суммарных складских расходов, Kl– ставка расходов по складу и калькуляционных процентов в пересчёте на единицу товара за период.
4. Определить суммарные затраты (K):
![]()
5. Минимизация суммарных затрат приводит нас к функции:

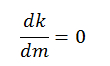
6. Наиболее приемлемый размер партии (m) находится при сведении уравнения к дифференциальному виду:

7. Постановка условия

8. Решение уравнения относительно m

Рассмотри на примере. Прогнозируемая реализация в будущем году составит 400 000 единиц товара T. Размер постоянных серийных затрат достигает 6 000 ДМ. Расходы по складу равны 20 ДМ на единицу товара за год. Вычислим наиболее приемлемый вариант размера партии.

Итак, минимизация затрат будет достигнута при размере партии в 15 491 шт. товара.
Есть ли допущения в формуле расчета оптимального размера партии?
Допущения в формуле расчета наиболее приемлемого размера партии:
Является ли расчет оптимального размера партии целесообразным на сегодняшний день?
Не стоит отказываться от расчета оптимального размера партии под предлогом чрезмерного расходования трудовых ресурсов. Конечно, нет необходимости определять оптимальный размер партии для каждого вида продукции, но для А и B товаров эти расчёты необходимы.
Для начала производится расчет оптимального размера партии для A-товаров, составляющих 5 процентов от объема всей продукции, но дающих около 75 процентов в переводе на доходность. Улучшение планирования и регулировки производства А-товаров приведет к значительному уменьшению затрат.
Внедрение оптимизации размера партии в сочетании с ABC-анализом значительно уменьшит производственные расходы. Этот эффект будет более значимым при повышении эффективность и снижении расходов склада.
Широкое распространение и активное использование персональных компьютеров облегчает задачи по поиску оптимального размера партии.